现代光学实验基础与中学实验设计

 

一、基本原理

光学是研究光(电磁波)的行为和性质,以及光和物质相互作用的学科,是物理学的一个重要的分支。传统的光学只研究可见光,现代光学已扩展到对全波段电磁波的研究。

激光的出现和发展使传统的光学面貌焕然一新,相继出现了非线性光学、傅里叶光学、光学信息处理、全息术、光纤通讯、集成光学、量子光学等新的学科和技术。现代光学是这些学科的基础。

我们在近代物理实验课程中引入光存储和光致双折射实验的目的就是让同学们对现代光学的基本知识和实验方法有一个基本的了解,提高学员的实验素养,为我们指导和设计中学光学实验打下一个良好的基础。

在非线性光学领域,近年来光折变材料引起了科技工作者的广泛关注。研究表明,该类材料在高密度数据存储、光图象处理、全息术及光计算等方面具有广阔的应用前景。在诸多材料中,有机偶染料掺杂的聚合物薄膜具有比无机晶体更优越的光学特性,如可擦除、响应快、灵敏度高、写入功率低等,且其成本低、易于成膜,现已成为光信息研究领域的热门话题之一。

1. 偶氮染料的分子结构和光异构特性

偶氮染料是一种偏振敏感的有机染料,它具有反式(trans)和顺式(cis)两种分子结构,如图1所示。它们的分子主轴均为氮氮双键。反式结构能量低,结构稳定;顺式结构能量高,结构不稳定,所以一般情况下偶氮分子多以稳定的反式结构存在。在光的照射下,偶氮染料分子吸收光能,可以从反式结构变为顺式结构,处于顺式结构的分子释放能量后再回到反式结构,这一过程称为光异构。

 

 

 

 

 

 

 

1 偶氮染料的分子结构和光异构过程

2.偶氮染料的吸收特性

在偶氮染料的苯环上引入不同的取代基,其对应化合物的最大吸收峰位置不同。另外N=N双键两端的环不同(苯环、杂环),最大吸收峰也不同。 本实验所用的甲基橙掺杂聚乙烯醇(PVA)薄膜的吸收峰在450nm (如图2所示),由图可见薄膜对于488nm532nm的激光都有一定吸收,因而样品可在此波段工作。

2  MO/PVA薄膜的UVvis吸收光谱

3.光栅生长机制

    由上述吸收谱的分析可知,本实验可用YAG激光器530 nm 的偏振光作为写入光,HeNe激光器632.8 nm的红光作为读出光,实验光路如图3所示。

全息光存储实验装置图

两束等强度的相干偏振光作为写入光,交叠照射在样品(图3中的H)上,两束光的夹角为q,由于这两束光满足相干条件,因此在样品上产生明暗相间的干涉条纹,条纹间距L=2/lsinq(/2),条纹的光强分布为周期性正弦分布。处于条纹亮区的样品中,不断有反式分子吸收光子转变为顺式分子,产生的顺式分子不断地被偏振光的电场取向,最终亮条纹区所有顺式分子,其分子主轴的排列方向都平行于干涉场偏振光的电矢量。暗条纹区只产生少量的顺式分子,多数偶氮分子以反式结构存在,且呈无规则排列。

由于干涉条纹的光强呈正弦分布,所以顺式分子的浓度及其规则排列也呈周期性正弦分布,顺式分子的这种排列方式使得样品的折射率产生周期性变化。这种由于分子的光致异构周期性排列而导致的折射率的周期性变化的现象,叫做光折变效应

任何能对入射光的振幅、位相、或二者同时加上一个周期性的空间调制的光学器件,都可以称作光栅。上述周期性变化的折射率能够对入射光的位相加上一个周期性的调制,称作折射率光栅或相位光栅。

在光栅形成过程中,加上一束红光,监测其一级衍射信号强度的变化,即可检测到光栅生长的情况。

4.光栅擦除机制

光栅生成后,关闭一束写入光,另一束写入光即为擦除光。擦除光均匀照在光栅上,原先暗区或光强较弱的区域中反式分子就会吸收光子转变为顺式分子,分子的电矢量重新取向;原先较亮的条纹区,则由于光强的减弱,顺式分子的数目减少。最终擦除光照射的整个区域内,顺式分子的浓度将达到稳定值,且大小分布均匀,取向一致,这样顺式分子的浓度及取向的周期性分布被破坏,光栅被擦除。同样,在擦除过程中,加上一束红光,监测其一级衍射信号强度的变化,即可检测到光栅擦除的情况。

5.信号存储和读出原理

用全息技术实现三维数据的存储,即为光存储。和全息照相的记录过程一样,两束写入光中,一束作为参考光,一束作为物光,它们交叠在样品上相干,经过上述光栅生长的光物理过程后,即形成物光栅,物的振幅和位相信息就存储在物光栅上了。

如果一束632.8 nmHeNe激光(作为读出光)照射到物光栅上,就会发生衍射,其衍射光就携带了物光栅中存储的所有光信息,这个过程和全息照相的再现过程是完全一样的,我们用光传感器对衍射光进行读取、经计算机处理,就会得到存储在物光栅中的信息。

 

二、中学物理实验设计

在中学教材中与现代光学对应的实验很少,但我们可以利用中学实验室中现有的实验器材及生活中可以利用的材料,自己设计相关很多的光学实验,通过这些实验的设计,不仅可以锻炼我们的设计实验的能力、进行探究性学习,而且实验方案还可以用于中学实验教学或指导中学生的课外科技活动。

原则上来说,本课程没有要求固定的实验方案,同学们可以根据自己的实验条件自行设计实验方案,但考虑到我们的实际情况、结合中学的教学实际,这里给出几个典型的实验方案或实验说明,起到抛砖引玉的作用。

1.全息照相

全息照相是现代光学比较典型的实验,在中学新课标中也有对此实验的观察要求。全息照相的记录光路如图4所示。我们可以直接观察全息图像,也可以用全息干板记录物光和参考光的干涉图样,冲洗后,用参考光再现全息图。

 

4 全息照相记录光路图

2.全息技术的应用

根据全息照相的基本原理,可以进行制做一步彩虹全息图、二步彩虹全息图、共面全息图、体全息图等多种全息实验。全息术的应用也比较多,如:全息显示、全息干涉计量、全息存储、超声、红外或微波全息等。

果有条件,我们可以在这些方面设计一系列实验,相关的资料可以到教材或网上查找。

3.光纤传感器的应用

自从被称为光通信元年的1970年后,由于实用化的光纤和半导体激光器的研制成功,光纤系统逐渐到了实用化的阶段。目前,光纤主要应用于光纤通信、光纤传感、激光治疗仪、激光加工机等方面,但最主要的应用领域是光纤通信和光纤传感器。光纤温度传感器的结构如图5所示。

   图5 光纤温度传感器结构图

 

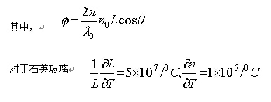
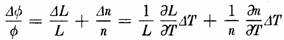
激光器发出的激光经扩束器后,由分光镜分成强度相等的两束光,经透镜耦合到两根等长的单模光纤中,两光纤的出射光在出射端相遇,由于它们满足相干条件,相遇时发生干涉,干涉条纹如图所示。当某一光纤所处的环境温度发生变化时,光纤的折射率和长度发生变化,引起相位变化,其关系如下式:

 

 

我们根据温度变化时干涉场内移过干涉条纹的数目,即可得到相位的变化,从而精确测出温度的变化量。

4.自行设计光学方面的实验方案。

以上给出了几个典型的实验设计方案,只是给大家一个参考,同学们不要受这些方案的限制。实际上,利用中学的实验条件还可以设计出很多与光学有关的实验。设计并完成实验后,按要求写出实验报告即可。

在实验中如果有什么问题,可在《课程论坛》中与我们联系。