第二节 西方个体激励理论

  一、行为主义激励论

  (一)老行为主义激励论

  在本世纪二三十年代,在美国风行一种行为主义的心理学理论,创始人为华生(J·B·Watson1878~1958)。行为主义的基本原则是刺激→反应的公式,用符号表示即为S→R。行为主义者认为,这一公式是从生物界到人类社会都适用的普遍原则。行为主义要研究的就是行为,而不是人的心理、意识、内部世界。根据这个理论,行为主义的任务,就是从刺激(自然或社会的)来推测反应,或者以反应来推测刺激。
  根据这个理论, 在管理措施上, 激励手段的应用,其实质是刺激,通过刺激手段(主要是金钱)诱发人的行为。
  根据这一理论,激励的主要手段是物质刺激,于是在企业中要搞计件工资制,以及超额的以高价计算的差别计件制。在这种理论的指导下,企业领导人的任务就是去选择一套适当的刺激,即激励手段,以引起工人相应的反应标准和定型的活动。

  (二)新行为主义激励论

  新行为主义又名为操作主义 。 新行为主义是在老行为主义的公式:刺激--反应中加上了一个中间环节,用符号表示就是:S→O→R。其中的S为刺激,R为反应,而O是一个中间变量,它是指的主观因素:意图、愿望、行为目的、映象和计划。
  根据这一理论,激励人的主要手段不能仅仅靠刺激变量,还要考虑到中间变量的存在。具体说来,激励手段中除了考虑金钱这一刺激因素外,还要考虑到劳动者的主观因素的需求。所以,根据新行为主义的理论,激励手段也要复杂化。

  这些手段应包括以下内容:

  (一)要从社会心理观点出发、分析需要和个人及群体的关系,这种需要既包括物质的,也有精神的内容。
  (二)要进行情境分析。由于人的思想经常会受到内、外环境因素的影响而发生变动,因此,要经常对人的情境进行动态分析,以便及时采取措施,使激励过程持续化。
  (三)目标的均衡。在个人和工作、各种人际关系中会发生一些冲突和不协调。为此,调和矛盾,使目标均衡也是很为重要的。
  (四)个体需求的满足与组织目标之达成一致化。

  (三)、行为修正激励论

  1.操作性条件反射与行为修正激励论

  美国新行为主义者斯金纳(B·F·Skinner,1904~ ),1938年在其《有机体的行为》一书中,提出了操作性条件反射的学说,1953年又出版了《科学和人的行为》一书,在这本书中,斯金纳提出了,将操作性条件反射不仅应用在动物身上,而且也要应用在人身上。
  操作性条件反射是一种反应型条件反射,这种反射只有在强化的条件下才会学会,而强化取决于反应,不取决于对刺激的感知。学得的反应都会因强化的增加而增加,也会因强化的减弱而消退。
  将这种理论应用于管理,就产生了行为修正激励论。这一理论表明,当行为的结果有利于个人时,行为就会重复出现,这就起到了强化、激励的作用。如果行为的结果对个人不利时,这一行为就会削弱或消失。

  2.行为修正激励论在管理中的应用

  在企业管理中,对人的某种行为给予肯定和奖赏,使这个行为巩固、保持、加强,这叫做正强化。对于某种行为给予否定和惩罚,使之减弱、消退,这叫做负强化。
  正、负强化都是强化的一种方式、手段,应用得当,就可以使人的行为进行定向控制和改造,最后引导到预期的最佳状态。

  (1)正强化--奖励的应用。奖励会使人得到一种心理上的满足感。但是应用奖励手段时,也要注意方式方法, 特别要注意以下几点:
  
  ①创造有效奖励的心理气氛

  奖励先进者时,要特别注意环境的心理气氛。显然,在一个平淡气氛中奖励一个人,对此人和其他人只能起保健因素的作用。如果能创造受奖光荣的强有力的心理气氛,那么,在这种气氛下,对被奖励者与其他人都有极为强烈的激励作用。

  ②奖励对象要有真正的先进性

  奖励先进者正是为人们树立一个学习的榜样和追赶的目标,它符合人们的进取心理

  ③奖励要注意时效性

  行为修正理论强调“即时反馈”,就是要让人们及时知道自己行为活动的结果,这样才能给人们以鼓励和信心,鞭策人们继续努力。为此,“延时反馈”,也就是相隔相当长的时间之后,再让人们知道行为的结果,这时的激励力量相对减弱了,而且缺乏活力。

  ④奖励的内容应该多样化

  (2)负强化--惩罚的应用

  惩罚作为一种负强化,也有积极的激励作用,只是所用方式与手段不同而已。如果一个人不能正确对待批评与惩罚,那么,这种方式会引起人们心理上的不满感、情绪上的消极反应、行为上的对抗等。
  当前,企业中对违纪职工采取了一些经济制裁的措施,这对强化劳动者的劳动纪律意识有积极的意义,因而对提高生产效率也起一定作用。

  但是,在采用惩罚手段时必须特别注意以下几点:

  ①惩罚与批评的形式要多样化

  人们对于惩罚和批评有着本能的对抗心理,为此,针对不同人的情况,可采用如下的批评方式:
  直接批评。对能够听取意见者,直截了当提出批评。
  间接批评。 通过对某事的批评, 旁敲侧击地间接批评某事、某人。
  暗示批评。不直接点穿,而实际上暗示为某人所为,这种批评方式为让人们意会到
  对比批评。通过表扬好的,实际上就是批评坏的。

  ②惩罚的内容多样化

  ③惩罚时同样要做到严中有情理

  (四)行为改造型激励理论

  归因理论最早是由海德(F.Heider 1958)从关于社会知觉的人际关系认知理论发展而来的。美国斯坦福大学的罗斯(L.Ross)和澳大利亚的心理学家安德鲁斯(Ardrews)等人应用归因理论来改变人的认知,从而进行强化,最后达到改变行为的目的。
  归因理论是说明和推论人的活动的因果关系的理论。人们用这种理论来解释、预测和控制他们的环境,及随这种环境而出现的行为。因而有人把归因理论称做认知理论,即通过改变人的自我感觉、自我认知来达到改变人的行为的目的。从最后目标来看,归因理论也是一种行为改造理论。
  不同的归因会直接影响人的行为和工作的绩效;对现在和过去成功或失败原因的归因会影响将来的期望和坚持努力的行为。
  归因理论所研究的基本问题有:①关于人的心理与行为活动的因果关系,包括内部与外部原因的分析;②社会推论问题研究,即根据人的行为及其结果,对行为者稳定的心理特性和素质、个性差异作出正确的推论;③期望与预期行为的研究,即从过去的行为及结果预测在某种情况下将会产生什么行为。
  根据美国心理学理维纳(B.Weiner)1974年的研究认为,在现实中,根据内因与外因,稳定与不稳定原因,可控与不可控原因,一般人对行为的成功或者失败常作如下四种归因:①归因努力或不努力的程度;②归因能力的大小;③归因工作(学习)任务难易程度;④归因个人运气与机会的好坏程度。
  归因原理在激发成就动机,促进继续努力的行为方面,有重要作用。不同的归因对成就与持续行为有不同的影响:
  1.如果行为者把失败归于自己脑子笨、 能力低这样一类自己无法直接控制的稳定的内因,则不会增强今后的努力与坚持性行为。因为他认为再努力也起不了作用。
  2.假若把失败归因于自己不够努 力这个相对不稳定的但又可控的内因,则可能增强今后的努力与坚持性行为。
  3.假若把失败归因于不稳定的外因,如偶然生病或其它事故等,不一定会降低人的行为积极性,能出现努力或坚持性行为。
  4.假若把行为失败归因于工作(学习)任务重、 工作太重(或难)等稳定因素,则会降低成功的期望,失去信心,出现不再坚持、努力的行为;反之,把失败归因自己不努力或粗心大意等不稳定的因素,就会增强的自信心,增强努力与坚持性行为,争取成功的机会。
  凯利(H.Kelley 1967)认为人们行为的原因十分复杂, 仅凭一次观察,有时难以推断他人行为的原因,往往须在类似的情境中作多次观察,根据多种线索,才能作出个人或是情境的归因。凯利将外界信息资料分为三种:①区别性资料,即指某人的某种行为是否特殊,指与他的其它行为不相同而言;②一致性资料,即指某人行为与周围其他人是否一致;③一贯性资料,即指某人特殊行为发生是一贯,还是偶然的,前后行为是否一贯性。根据这三方面的线索,我们可以对他人行为作出正确的归因。例如,某职工所有工作效率都低,而不是某项工作任务的效率低, 即区别性低; 而同班组其他职工的效率都高,只有他的效率低, 即一致性也低; 该职工的工作效率现在这样低,以前也如此,即一贯性高。综合这些信息资料,这位职工工作效率低是由于自身的原因。如果区别性高,一致性低,一贯性也低,则可以归因于当时的情境或条件。
  管理人员可以采取上述方法, 正确分析职工成功或者失败的原因。 也可以通过宣传教育, 细致的政治思想工作,帮助职工端正态度,让他们正确认识和分析自身行为成功与失败的原因,达到改造人的行为的目的。尽量找出行为失败的不稳定因素,以增强其行为改造成功的信心。

  二、认知派激励论

  认知心理学派认为,把行为简单地看成为人的神经系统对客观刺激反应的机械联结,这不符合人的心理活动的客观规律性。认知心理学认为,要充分考虑人的内在因素,诸如思想意识,需要、兴趣、价值等。

  认知心理学派的主要论点为以下内容:

  (一)强调认知过程中的结构和组织原则。
  (二)强调内部发生的过程,即符号信息加工。
  (三)强调概念的驱动作用。
  (四)强调认知反馈作用。
  (五)强调认知方式上的个别差异。
  将认知心理学理论应用于管理中就产生了二类激励理论:内容型激励理论和过程型激励理论,见下表,现分述如下:

表4-2-1 认知派激励论分类表

  (一)内容型激励理论

  内容型激励理论着重研究激发动机的因素。
属于这一类型的包括有马斯洛的“需要层次论”,阿尔德弗的“生存、关系、成长理论”,麦克利兰的“成就需要论”,赫茨伯格的“双因素理论”等等。
  马斯洛的 “需要理论” 和阿尔德弗的“生存、关系、成长理论”, 我们将在第六章专题阐述, 所以这节中就不再赘述。现重点介绍赫茨伯格的“双因素理论”。

  1.双因素理论

  双因素理论是由美国心理学家弗雷德里克·赫茨伯格(Frederick Herzberg)提出的。他现任美国克利夫兰州西部保留大学的心理学系主任和教授。
  赫茨伯格的主要著作计有:1959年出版的《工作的激励》,1966年出版的《工作与人的本质》等。

  (1)双因素理论的实验基础。50年代后期,赫茨伯格在兹堡心理研究所与其同事们,对该地区的11个工商业机构中的200位工程师和会计师进行了一次调查。 调查人员要求这些人回答,他们在工作上何时感到心情舒畅。 调查人员探寻他们产生这种心情的原因,要求他们回答导致他们产生这种心情的事件发生的先后顺序。然后, 又要求他们回答引起他们不满的事件发生的先后顺序。 调查人员把他们的回答详细分类,以便考察导致对工作满意和不满意的事件的类型。

  赫茨伯格将调查的结果,按满意与不满意因素作了如下图6-3的综合分析。
  研究的主要成果表明, 导致对工作满意与不满意的事件是截然不同的。
  导致满意的主要因素有五个:成就,认可,工作本身的吸引力,责任,发展。
  导致不满意的主要因素有:企业政策与行政管理,监督,工资,人际关系以及工作条件等。
  赫茨伯格把这些独特的、不相同的要素与对工作满意和不满意的事情联系起来,从而得出结论认为,这两种感觉彼此并不矛盾,只是他们分别代表了人的不同的需求。
  之后,赫茨伯格又对1600多名从属于不同地方、不同企业和组织的雇员进行了12次不同的调查,进而得出结论认为,对工作满意起作用的主要因素是成长与发展,而对工作不满意起作用的主要因素是环境的缘故。

  (2)双因素理论的涵义。双因素理论实为激励因素、 保健因素理论, 简称为“双因素理论”。

  双因素理论认为, 激发人的动机的因素有两类, 一类为保健因素,另一类为激励因素。
  保健因素又称为维持因素,这些因素没有激励人的作用。但却带有预防性、保持人的积极性、维持工作现状的作用。例如,上述的企业政策,工资水平,工作环境,福利和安全等等,皆属于此类因素。这种因素象卫生条件那样能保证人不生病,如对跌了一跤的人,皮肤被擦破,为此需要及时用点药水消消毒,这样做可防止发炎,使伤口复原,但不能增加健康状况。在工作中,保健因素起着防止人们对工作产生不满的作用。
  激励因素是影响人们工作的内在因素,其本质为注重工作本身的内容,藉此可以提高工作效率,促进人们的进取心,激发人体素质,增进人们的健康。如上述的成就、认可、责任、发展等因素的存在将给人们带来极大的满足。
  关于激励因素与保健因素的相互关系问题,赫茨伯格认为,传统的满意--不满意的观点(认为满意的对立面是不满意)是不正确的。他认为,满意的对立面应该是没有满意;不满意的对立面应该是没有不满意。
  这种观点用图式来表示,即
  
  

  这说明,保健因素与激励因素,对于调动人的积极性来说,还都是起作用的,只是其影响的程度不同而已。
  60年代以来,双因素理论越来越受人注意。

  (3)双因素理论在管理中的应用。双因素理论可用来指导奖金工作。 在我国企业中要使奖金成为激励因素, 必须与企业经营好坏,以及部门、个人的工作成绩挂起钩来。如果奖金不顾企业经营好坏, 不讲部门与个人成绩大小, 采取每个职工各拿一份的“平均分配”的办法,那么,在这种情况下,奖金就会变成“保健因素”。为此,企业花钱再多,也起不了激励的作用。

  2.马斯洛的“需要层次理论”

  西方人本主义心理学家马斯洛在他的动机理论中阐述了需要层次论思想(见他1943年著的《调动人的积极性的理论》和1954年的《激励与个性》)。他认为可以将动机分为两类,即欠缺的动机与生长的动机。在每一类动机之中各有不同的需要,从低到高可分为五层或七层。

  (1)马斯洛从低向高的需要层次

  ①生理需要。 指衣、食、住、行、婚姻、 疾病治疗等人类最原始,最基本的维持个体生存的物质性需要。
  ②安全需要。这是寻求依赖和保护,避免危险与灾难,维持自我生存的需要。这类需要包括人生健康与安全、 劳动保护、职业安全、生活稳定、社会保险、社会秩序与治安、退休金与生活保障等。
  ③社交的需要。也称爱与归属的需要。马斯洛认为,当食物与安全需要获得保障之后,人类便产生更高一层的社会需要。希望得到爱和爱他人;希望交友融洽、保持友谊、相互忠诚信任、有和谐的人际关系;依附一定的组织与团体,被团体接纳,成为团体的一个成员,有归属感。
  ④尊重的需要。这是比社交需要更高一层次的自尊、自重和受别人尊重的需要。包括自我尊重方面,如独立、自由、自信、成就等;及社会尊重方面,如名誉、地位、社会认定、被他人尊敬等。这是有关个人荣辱的需求,必须等前几种需要获得满足之后,才能出现并产生激励力量。
  ⑤自我实现的需要。 以上四种需要都获得某种程度的满足之后,个体还会有紧张的心理状态出现,要追求最高一层次的自我理想的实现,还有追求发挥自己全部能力的需要。就可称自我实现(或自我充分发展)。自我实现又叫创造自由的需要。
  马斯洛先提出五个需要层次,后又在尊重需要和自我实现之间加了求知、审美两个需要层次。求知需要包括好奇心、求知欲、探索心理及对事物的认知和理解。审美需要即指人有追求匀称、 整齐、 和谐、鲜艳、美丽等事物而引起心理上的满足。

  (2)需要层次之间的关系

  马斯洛认为,各需要层次之间的关系是逐层递升的,最基本的生理和安全需要得到满足之后,高层次的需要才能依次出现和满足。
  他还认为,人的五种(或七种)需要在不同年龄阶段和不同的社会生活条件下,总有某一种需要处在优势地位。这种占优势地位的需要是主导需要,其需要强度亦最大。
  马斯洛认为,一个社会的多数人的需要除受年龄因素影响外,还与该社会经济状况以及教育普及程度有关。
  马斯洛还认为,在同一时期内,不同层次的需要可以并存。

  (3)自我实现的途径

  ①充分的、生动的、无私念的体验生活,忘怀一切。
  ②生活是一系列选择(如前进与倒退,安全与畏缩等)。
  ③自我实现是有一个自我实现出来的倾听自己内部的呼唤,而儿童多是听父母及教师的呼唤。
  ④当有怀疑时,诚实地说出来,敢于承担责任,就是迈向自我实现的一大步。不要违心。
  ⑤每次选择时做到以上四步,可以说就是自我实现。要根据自己内心想法,不要迎合外界。
  ⑥实现一个人潜能的过程,成为一个有智慧的人。自我实现意味着通过学习而变得更加聪明。要勤奋,有成为当“第一流”的准备,才能有自我实现的可能。
  ⑦顶峰经验是自我实现时的入迷时刻, 创造良好的环境与条件,才能出现顶峰经验。
  ⑧善于了解一个人,分析一个人,使用一个人。

  (4)对“需要层次论”的评价

  ①马斯洛把人类千差万别的需要归为五类或七类,有利于我们对人类行为的动机结构进行科学研究,从而揭示人类行为被激励的原因和规律;②他把生理需要(衣、食、住、行等)作为正常需要的基础是有一定道理的。③马斯洛在《动机与人》著作中既批判了“本能论”的观点;也指出了行为主义“S--R”的机械论不能解释人的行为。他强调动机与需要在人类行为中的动力作用。④马克思主义从整个人类历史发展的观点对人的本质作了科学的宏观考察。
  马斯洛的需要层次理论也有局限性和不足之处。首先,他把自我实现看成是一个自然成熟的过程,完全否认人的社会存在对人的成长有决定性影响,否定社会化进程在人的自我实现中的作用,这正是他的人本主义思想的局限性。脱离社会实践,脱离集体,搞封闭型的自我实现容易使人误入歧途。其次,他的层次理论带有一定的机械主义色彩,他把需要层次看成是一种机械上升的固定程序,忽视了人的主观能动性, 忽视了高级需要对低层次需要的影响。 他的梯形分层结构,并不能概括多种需要的螺旋交错关系,也不能反映各种需要之间的对立统一关系。

  3.阿尔德夫“ERG”理论

  阿尔得夫在对工人进行大量调查研究的基础上,他把马斯洛的需要层次压缩为三种需要。(见图4-2-1)

  图4-2-1 “生存、关系、成长论”与“需要层次论”比较

  (1)生存需要(exsistence )类似《需要层次论》的生理和某些安全的需要,是最基本的需要。 包括衣、食、住、 行及工资、津贴、工作条件等。
  (2)相互关系需要(relatedness) 相当于社交与他人尊重的需要。包括上下级、同级、个人、集体等人际关系的和谐。
  (3)成长发展需要(growth)相当于自尊与自我实现的需要。 包括个人在事业上、前途方面的创造性、发展与成长的努力。

  阿尔得夫理论的主要论点是:

  (1)各个层次的需要获得满足越少, 则这种需要越为人们渴望追求。例如,满足生存需要的工资越低,人们越是渴望获得更多的工资。
  (2)较低层需要越是获得满足,对高层需要的渴望追求越大。例如人的生存需要满足后,对人际关系和成长需要的追求愈强烈。

表4-2-2 “生存、关系、成长论”与“需要层次论”的区别

马斯洛的需要理论
阿尔得夫的需要理论
①人的需要分为五(或七)类 ①人的需要分为三类
②建立在“满足--上升”的基础上(即只有低层需要满足,才上升到高级需要)。 ②建立在“满足--上升”与“挫折--倒退”两个方面(即不仅低级需要满足后上升到高级;而且高级未满足,低级更强烈。)
③每个时期只一种优势需要。 ③可能有一个或一个以上优势需要。
④严格按等级上升不存在越级也不存在倒退。 ④可能超越需要等级上升,也可能下降。
⑤人的需要是生来就有的、内在的、下意识的。 ⑤人的需要有生来就有的,也有后天获得的,如成就需要就是后天获得的。

  (3)较高层需要越是不能满足或者缺乏, 则对较低层需要的追求也越多。例如一个人对事业、成就、理想追求缺乏,则就会更多地追求生存的需要。
  经过上述比较,阿尔得夫的理论更切合实际,修正了马斯洛理论的某些不足之处。两者的区别见表4-2-2。

  (二)过程型激励理论

  过程型激励理论着重研究从动机的产生到采取行动的心理过程。
  属于这一类型的包括有佛隆的期望理论,亚当斯的公平理论,杜拉克等的目标设置理论,以及海特的归因理论等。
  如果说,内容型激励理论是从满足人们生理和心理上的需要方面来激励职工,那么, 过程型激励理论是以 “外在的目标”去激励职工。

  1.期望理论

  ①期望理论的一般概念


  期望理论是一种过程型的激励理论。它是由佛隆(V.H.Vroom)在其《工作与激励》(1964年出版)一书中首先提出来的。
  这一理论认为,人的固定要求决定了他的行为、行为方式。工人的劳动是建立在一定的期望(对未来方向的某种期望)基础上的,这样就可以在个人活动与其结果之间建立某种联系。
  激励力量=∑效价×期望值
  用符合表示即为M=∑V×E
  其中M为英文字母Motivation(激励力量)的第一个字母,V为英文Valence(效价)的第一个字母;E为英文Expectancy(期望)的第一个字母。
  效价是指个人对他所从事的工作或所要达到的目标的估价。这也可理解为,被激励对象对目标的价值看得多大。
  在现实生活中,对同一个目标,由于各人的需要不同,所处的环境不同,从而他们对该目标的效价也往往不同。比如,有一个人希望通过努力工作得到升迁的机会, 这就表明, 他的升迁欲望高,于是“升迁”在他的心目中的效价就高;如果一个人对升迁漠不关心,毫无要求,那么,升迁对他来说,其效价等于零。相反,如果一个人不但没有升迁的要求,甚至害怕升迁,这时,升迁对他来说,效价为负值。
  对升迁的效价是如此,对别的需要的效价也是如此。在这种意义下,效价有正值、零、负值之分,但其含义仅仅是大小、高低之分。
  期望值是指个人对某项目标能够实现的概率的估计。这也可理解为,被激励对象对目标能够实现的可能性大小的估计。
  期望值也叫期望概率,在日常生活中,一个人往往根据过去的经验来判断一定行为能够导致某种结果或满足某种需要的概率。例如,一个孩子的父亲是个音乐家,这个孩子步其后尘。那么,对于这个孩子能成为音乐家的期望值很高。只有当一次又一次的事实证明,他的音乐才能很差时,并经过多次不成功的经验后,他才可能完全放弃做个音乐家的目标。
  一个人对某个目标,如果他估计完全可能实现,这时概率为最大(P=1);反之,如果他估计完全不可能实现时, 那么,这时的概率为最小(P=0)。
  由此可见,对于一个一心想升迁的人,升迁对他的效价很高,如果他同时觉得升迁的可能性也很大(即期望值很高),那么用升迁对他进行激励,便能收到较好的效果。
  同理,假使有一个学生认为考大学这件事对他很重要,吸引力很大,这样效价(即V值)就大。与此同时, 他又觉得考取大学的概率很大,相当有把握,即期望值(E值)也高,那么, 他受到的激励也就比较强。为此,考大学这件事对他的激励作用就很大。假使,这个学生根本不想考大学,感到考大学远不如早就业来得“实惠”,考大学对他来说效价就很低,考大学这件事对他的激励作用就不大。
  另一种情况也影响该学生的激励力量,比如,该学生想考大学,觉得读了大学对将来工作有利,但因学习不好,自估考取大学的把握极小,那么,这时考大学对该学生的激励力量也会显著下降。
  由此可见,这个公式的含义就是,当一个人对某项结果的效价很高,而且他判断出自己获得这项结果的可能性也很大时,那么,用这项结果来激励他就非常起作用。
  效价和期望值的不同结合,会产生不同的激励力量,其情况有以下几种:
  (1)E高×V高=M高
  (2)E中×V中=M中
  (3)E低×V低=M低
  (4)E高×V低=M低
  (5)E低×V高=M低
  从上可见,要使被激励对象力量最大时,效价值和期望值也必须高。只要效价和期望值中有一项的值很低时,这件事对被激励对象来说缺乏激励力量。

  ②期望理论的VIE模式


  期望理论还可以用模式图来表示。
  可见,通过一定的努力,个体可以达到两种水平的输出。
  第一种水平的输出,即为达到组织的目标。
  第二种水平的输出,就是个体本身想达到的目的。
  这一模式图有助于我们分析并说明,在个人行为与组织目标之间的可能联系。这二种水平输出之间是有联系的,第一种水平输出的目的是带有工具性的,是达到目的的手段,而第二种水平输出的目的,则是个人的目的(可能是认可或金钱)。如果工人的工作结果纸于规定指标,这就意味着,他没有能达到企业的目标,即第一种水平的输出,与此同时也不能达到第二种水平的输出。在这种情况下,这种工作对工人的激励力量是很微弱的。
  从模式图中引进了期望理论的第三个概念, 即工 具性或手段性(Instrumentality),将V与E结合起来,在西方就简称为VIE激励模式。
  工具性或手段性,这是与效价有关的另一个重要因素,个人所预期的成果(或目标)有两个层次,一级成果是最初目标,是达到二级成果的工具或手段,二级成果才是最终目标。工具性或手段性,标志着个人对一级和二级成果之间内在联系的认识。

  ③期望理论评价及其在管理中的应用

  期望理论的积极意义主要在于:一是揭示人们采取行动时普遍存在的心态,即期望的激励作用,并把它与目标激励联系起来,从而扩大了人们的激励视野。二是注重行动结果的层次分析,并提出“工具性”概念“,使组织的目标与个人的目标在激励中共同发挥作用。三是把效价期望值统一起来分析,有利于克服片面追求效价的行为。
  这种理论的不足之处主要表现在:一是效价与期望值都是人们的主观体验,与人们的知识经验和价值观等紧密相连,如果仅仅根据个人认定的效价与期望值决定是否采取行动,那很有可能导致与组织要求大相径庭的”不应为而为,应为而不为的现象。二是在强调期望值上有一定的片面性。在期望理论看来,效价衡定时,期望值越大激励力量越大。但在现实生活中,这种情况也许只适应于部分人。对那些像赫茨伯格描述的喜欢从事有一定挑战性工作的人来说,他们对期望值太大(挑战性相对小)的事情是不感兴趣的。三是期望理论倡导的是追求最高激励水平,而实际上,要求较高的工作效率,必须使激励水平与工作复杂程度保 持适当的关系。 心理学家叶尔克斯和多德森(Yerkes and Dodson)研究发现, 操作效率和激励水平之间关系的曲线,随着任务的复杂性变化而变化。解决复杂的代数问题时,最佳的效果处于较低的激励水平;运用基本的技能解决问题时,操作效率的高峰处于中间的激励水平;用简单反应解决问题时,操作效率的高峰处于较高的激励水平。

  2.公平理论

  任教于北卡罗莱纳大学的美国心理学家亚当斯(J.S.Adams)于60年代先后发表了《对于公平的理解》、《在社会交换中的不公平》,从而创立了公平理论。

  (1)主要观点

  ①公平感


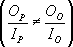
  人们通常要将自己的投入和所得报酬的比值与一个和自己条件大体相当的人的投入和所得报酬的比值进行比较,如果两者相等,则有公平感;如果不相等,则有不公平感。用公式表示分别为:
          
  公平状态:
  
  其中,代表一个人对他自己的所获报酬(产出)的感觉
     代表一个人对他自己的所作贡献(投入)的感觉
     代表一个人对他人所获报酬(产出)的感觉
     代表一个人对他人所作贡献(投入)的感觉

  不公平状态:

  进一步分析,不公平有两种情形:

  (对自己有利)利己不公平:
  (对自己不利)损己不公平:

  从上述内容还可分析推导出:

  A.人们对报酬是否满足在较大程度上受社会比较过程的影响。也就是说, 不仅受报酬绝对值的影响,而且受报酬相对值的影响(与别人作横向比较,与自己的过程作纵向比较)。
  B.公平通常令人心情舒畅,焕发工作热情;不公平往往使人产生消极情绪,形成人际矛盾,影响工作积极性。

  ②消除不公平感的方式

  当一个人发现自己受到不公平(利己或损己)待遇时,他往往采取以下几种方式消除心理的不公平感:
  A.力求改变自己的报酬。阿伦(J.Allen)和布鲁斯(K.Bruce)做过一个处于不公平状态下的人怎样改变自己报酬的实验。实验是让大学生被试每两人一组解数学题,一人为解题者,一人为验算者,并告诉他们按解题的速度和正确的程度付报酬,报酬付给两人后,再由他们两人自己分配。在实际解题过程中,解题者和验算者投入的时间量相等,因此公平分配方法是将报酬平分。实验分两次进行。第一次由解题者掌握报酬分配权,第二次由验算者掌握报酬分配权。无论哪一次,没有分配权的人有权对分配者的决定作出5美分的修正。 在第一次实验中,绝大多数解题者提出的是公平的分配(平分),故验算者无异议。在第二次实验中,实验者操纵验算者使分配发生变化,即将得到的1美元40美分分别按85.7% (1美元20美分)、 67.9% (95美元)、50%(70美分)、32.1%(45美分)、14.3%(20美分)、3.6%(5美分)、1.4%(2美分)分配给解题者。结果是,得到85.7%和67.9%报酬的解题者,提出要将自己的报酬减少5美分,而所得报酬不足50%的,提出要把自己的报酬增加5美分。只有恰好获得50%报酬的,才没有异议。这说明, 解题者不仅在损己不公平(所得报酬不足50%)时,而且在利己不公平(所得报酬超过50%)时, 都想通过改变自己的报酬以减少不公平感。
  B.要求改变他人的报酬。 这点在上面的实验中也得到了证明。当报酬总额衡定时,要求改变自己的报酬实际上就是要求改变他人的报酬。
  C.设法改变自己的投入。雅各布森(P.R.Jacbson)等人做过处于利己不公平状态下的人的实验。实验是让哥伦比亚大学的学生(被试)参加印刷品校对工作。事先告诉被试校对一页给30美分。实验之前,先检测被试的校对能力,再随机分为3个实验组(3组成员的校对能力实际上大致相等,没有统计学意义上的差别)。实验开始前,实验者告诉第一组被试:“测验证明,你们的校对能力并不强。但由于我们要赶任务,所以还是聘请你们。报酬还是事先商定的,即每页30美分。”然后对第二组说:“测验证明,你们的校对能力不大强。因此不能按事先商定的支付报酬,只能每页给20美分。”最后告诉第三组:“测验证明你们的校对能力很强。因此按事先所说每页30美分付钱,这种报酬与有资格从事这项工作的其它人所得的报酬相同。”实验结果证明:第一组觉得自己报酬过多而要改变不公平,于是比其它两组更努力地工作,矫正校样的错误最多。其它两组都觉得自己的投入与报酬相当,没有不公平感,因而在投入上也比较正常。这是利己不公平实验。 至于因损己不公平而减少投入的, 实际生活中屡见不鲜。
  D.要求改变他人的投入。 处于不公平待遇状态下的人,不仅能通过改变自己的投入和报酬,而且能通过改变他人的投入和报酬消除不公平。 因为改变他人的投入, 也就改变了他人的投入与报酬之比值,就有可能使其比值与自己的投入与报酬比值接近。
  公式都是围绕不公平状态作文章的, 加或减少“不等式”中相应的分子或分母的值,使“不等式”变为“等式”。但是要消除不公平感并不是轻而易举的,有时没有现实的消除手段,或即使有现实手段,使用起来也是非常困难的。于是人们又提出了下面的消除不公平感的方法。
  E.自我消除不公平感。具体的办法是改变比较对象或知觉方式。前者如换一个投入与报酬比值低于自己的人和自己作比较。后者如重新分析自己的投入,使自己的投入和报酬之比接近比较对象。
  在实际生活中,人们到底采用什么样的方法消除不公平感呢?要具体情况具体分析,一般来说,人们根据“彻底”与“少投入”原则作选择。即选择能彻底消除不公平感的方法和用较少投入却能较大程度消除不公平感的方法。

  (2)评价

  公平理论揭示了人们公平心态的激励功能,把一个客观存在却不大为人们注意的问题纳入了科学研究领域。但是这种理论还有待深入研究,这主要因为:其一,公平可以消除人们的不满,但它似乎难以激励人们。因为公平感本身是一种心理平衡感,平衡而无冲突,就失去了动力。这在上述一些实验中可找到证明。其二,公平的主观色彩甚浓,因此实际上很难操作,也就难以利用。其三,有利于自己的不公平感也是激励人们的力量。这点也可从上述实验中看出。实际生活中的“倾斜政策”等能调动积极性的原因也在于此。因此公平的激励价值也许存在于尽量减少人们损己的不公平感而扩大人们利己的不公平感的策略之中。

  3.挫折心理

  (1)挫折的定义


  在心理学上,“挫折”一词是指一种情绪状态。挫折一词的英文名词为Frustration。挫折的定义为,个体从事有目的的活动过程中,遇到障碍或干扰,致使个人动机不能实现,个人需要不能满足时的情绪状态。
  古人说“人生逆境十之八九”。在人的社会生活实践中,人人都有过说不尽的雄心壮志。但是,很难事事如意,总是有成功的,也有失败的时候。 成功了固然是应该高兴的, 失败了也并非完全没有益处。英国心理学家布朗(J·Brown)曾说过:“一个人如果没有任何阻碍,即将永远保持其满足和平庸的状态,既愚蠢又糊涂,象母牛一样的逸然自得”。实际上,因因为遭遇到种种挫折,才更能磨炼人的意志,从失败中吸取经验教训,以增强其克服困难和适应环境、战胜挫折的能力。
  从心理学上来分析,人的行为总是从一定的动机出发达到一定的目标。如果在通向目标的道路上遇到了障碍,那么就会产生以下三种情况:
  ①改变行为,绕过障碍,达到目的;
  ②如果障碍不可逾越,可以改变目标,从而改变行为的方向;
  ③在障碍面前无路可走,不能达到目标。正是在这种情况下人们才会产生挫折感。
  由此可见,挫折是指个体从事有目的的活动过程中,遇到障碍或干扰而又不能克服,致使个人动机不能实现,个人需要不能满足时产生的紧张状态或情绪反应。
  社会主义社会充满生气,无限美好,正因为如此,生活在新社会中的人往往对于社会所给予他们的有利条件方面容易估计过多,而对于可能遇到挫折估计不足。一遇到挫折往往措手不及、惊慌失措,在行为上表现出失常,以致做出不利于社会、个人的事情。所以,在社会主义社会中同样要分析挫折现象,分析其原因,寻求克服挫折的各种措施。

  (2)挫折产生的原因及个人的容忍力

  ①环境因素的影响


  环境因素是属于外因与客观因素一类,这是指由于外界事物或情况阻碍人们达到目标而产生的挫折。这里又可分为自然物理环境因素与社会因素两种。
  自然物理环境因素的影响包括诸如很强的噪声水平、很低的照明水平等等。
  社会因素的影响包括诸如个人在社会中受到政治、经济、法律、道德、 宗教、 风俗习惯等人为因素的影响。比如人们之间的关系紧张,工作岗位不能使人充分发挥才能,教育方法不当,管理方式不妥等。

  ②主观因素的影响

  主观因素引起的挫折称为个人起因的挫折。这里又可分为个人生理和心理上的条件与需要发生冲突的两种情况。
  个人生理因素是指个人具有的容貌、身材以及某些生理上的缺陷所带来的限制。 这种缺陷导致不能胜任某种工作、 工作中遭到失败等。
  心理上的原因更为复杂,例如需要的冲突因素也是造成挫折的原因。它是指个人在日常生活中,经常产生两个或两个以上的需要,这时又很难决定那一需要是最强烈的需要,因而产生难以决策的心理状态。同样,当个人欲望和集体需要发生冲突、理想和现实发生冲突、集体中的相互协作与竞争发生冲突等, 这些都可以是造成挫折的原因。
  一个人在心理是否体验到挫折, 这是同他的抱负水平密切相关的。前边说过,抱负水平是指一个人对自己所要达到的目标规定的标准。一个人的自我估计、期望水平常常是造成挫折的重要原因。如果一个人自我估计过高,期望水平常常是超出了个人的实际水平,就会出现目空一切,自不量力,追求一些根本无法实现的目的,这就必然造成挫折。

  ③个人对挫折的容忍力

  人们对挫折的感受程度是与个人的容忍力(Tolerance)不同而有差异的。显然,在日常生活中人们在遇到挫折时的容忍力具有个体差异。有的人能忍受严重挫折,毫不灰心丧气,有的则遇到轻微的挫折就会意志消沉。有的人能忍受来自工作上的严重挫折,但却不能容忍自尊心受到伤害。有的人能忍受别人的侮辱,但面对环境的障碍却会焦虑不安、灰心沮丧。心理学的表明,人对挫折的容忍力受到人的生理条件、过去挫折的经验以及个人对挫折的主观判断的影响。身体强壮的人比体弱多病的人更能忍受挫折。此外,人们对挫折的情境有不同的判断,对同样的情景,一个人可能认为是严重的挫折,而另一个人则可能认为是无所谓的事情。生活中历尽艰辛的人比终日养尊处优的人更能容忍挫折。
  由上可见, 一个人对挫折的容忍力的高低是与下列四个条件相关:生理条件、思想政治条件、社会经验条件、对挫折的知觉判断条件。

  (3)受挫折时的行为表现

  第一,理智表现


  人们在受到挫折时,往往会采取两种不同的态度。一种是对挫折采取积极进取的态度(即:理智的态度)。另一种是采取消极防范的办法(即:非理智的表现)
  理智的态度行为则表现为:理智的表现;反之相反。

  ①继续努力

  一个人在通向目标的道路上,虽遇到了某些障碍,但并不心灰气馁,而是继续努力,经过反复努力,克服重重困难,直到最后达到目标,战胜挫折。

  ②调整目标

  一个人的某种动机和行为,经一再尝试,仍无法成功,他可能调整目标或降低要求,以满足某种需要。

  ③升华(升华作用)

  这是由消极因此化积极行为,是一种富有建设性的防卫行为。它将敌对、愤怒等消极因素转化为积极行为。

  ④补偿(替代)作用

  当一个人确定的目标受到条件的限制而无法达到时,他会设置另一个目标来取代原来的目标,或者以新的需要来替代原来的需要。

  第二,非理智表现

  非理智表现的主要特征是攻击、退化、固执和妥协。这些表现往往是以综合的形式出现,把它们分开只是为了更清楚地进行分析:

  ①攻击

  个体受到挫折后,引起愤怒的情绪,对构成挫折的人或物进行直接攻击。比如一个人受到同事无故的谴责,他可能会“以牙还牙”,怒目而视, 反唇相讥, 表现为直接的攻击。他也可能表现为转向攻击,把愤怒的情绪发泄到其他的人或物上去,即迁怒于人或物。这种情况是常见的,例如一个人在厂里出了生产事故,受到批评,回到家里骂老婆,打孩子,摔东西,以发泄自己的情绪。
  美国耶鲁大学心理学家道兰德(Dollard)其及同事于1939年提出了“挫折--攻击”假说。这种假说最初认为,任何挫折必然会导致攻击行为。以后根据他们的研究结果对这种假说作了修改。他们得出结论说,攻击行为的产生依赖于四种因素:
  A.受挫折驱动力的强度;
  B.受挫折驱动力的范围;
  C.以前遭受挫折的频率;
  D.随着攻击反应而可能受到惩罚的程度。
  应当指出,“挫折--攻击”假说有很大的片面性。多数心理学家指出,挫折与攻击之间没有必然的因果关系。攻击只是人们遇到挫折时的表现形式之一,而不是唯一的表现形式。

  ②倒退

  有时也可称为“退化”或“回归”。这种情况是指,当一个人受挫折时,会表现出一种与自己的年龄、身份很不相称的幼稚行为。如一个领导因自身受到某种挫折而对下级大发脾气,或为一点小事而暴跳如雷,粗暴地对待别人,这些都是回归性行为。
  倒退的另一种表现是受暗示性。受暗示性最经常的表现是人们在受挫折后会盲目地相信别人,盲从地执行某个人的指示。
  企业中倒退现象表现为不能控制自己的情绪,盲目地追随某个领导人,缺乏责任心,无理取闹,毫无理由的担心,轻信谣言等。

  ③固执

  固执通常是指被迫重复某种无效的动作,尽管反复进行某种动作并无任何结果,但仍要继续这种动作。
  表面上看,固执与正常习惯非常相似,但当设法改变固执和正常习惯时会看出它们之间的明显区别。如果习惯的行为不能满足人的需要,或者受到惩罚时,会改变习惯的行为。相反,在这种情况下固执行为不仅不会改变,而且会更加强烈。因此在企业管理中,使用惩罚对人可能有两种完全不同的效果。它可能成为挫折的起因,从而产生具有强制性特点的固执行为。但也有可能成为改变不良习惯的手段。正因为惩罚有这两种效果,所以在使用惩罚手段时要特别谨慎,否则会产生事与愿违的结果。
  此外,在企业中当人们受到挫折后往往会抵制经济或技术上的变革。他们会执拗地认为老一套的办法是最好的,甚至找出各种理由为他们的抵制行为辩解。一般说来,挫折情境较少的企业职工的士气较高。

  ④妥协

  人在受到挫折时会产生心理或情绪的紧张状态,这种状态称之为“应激状态”。人们长期处于过度应激状态会引起各种疾病,因此需要采取妥协性的措施以减轻应激状态。

  妥协性措施有以下几种表现形式:

  A.合理化


  人们在受到挫折后会想出各种理由原谅自己,或者为自己的失败辩解,这就是所谓的找借口,怨天尢人,“自我解嘲”。例如,一个人因工作马虎不负责任出了事故,他却推说是机器陈旧所造成的,并非他的责任。一个人因工作表现不好没能得到奖金,他却说:“我根本不在乎这几块钱的奖金”,想以此来为自己的表现差劲而辩解。合理化实质上是一种文饰作用,其作用是自我安慰。这有点象平常所说的“阿Q精神”,即精神胜利法。

  B.推诿

  当一个人受到挫折时,把自己的不良行为推诿于人。他们以为这样做就会减轻自己的不安、内疚和焦虑。例如企业中的职工由于自己行为的过失而产生了次品,事后他却将责任推诿于别人行为的过失。

  C.替代

  当一个人所确立的目标与社会的需要相矛盾时,或者受到条件的限制而无法达到时,他会设法制定另一个目标取代原来的目标,这就是“替代反应”。“升华”是替代作用的一种主要表现形式。例如,人们在受到挫折后(在生活中遇到不幸),往往会使人在事业上取得突出的成就。所以替代反应又可以称为“补偿反应”,即一个人从一种活动范围中遭受到挫折,就从另一种活动范围中谋求成功,以求得补偿。 补偿反应是具有积极作用的, 是个人通过自身的努力扬长避短,通过正常的努力来战胜挫折,克服不利条件的过程。

  D.表同

  表同是与推诿完全相反的表现。推诿是把自己不良的品质强加给别人, 而表同是把别人具有的、 使自己感到羡慕的品质加到自己身上。这往往表现为模仿别人的举止言行,以别人的姿态风度自居。例如有人把自己和在某项事业中获得成功的人物或有名望的集体单位联系在一起,从而求得一些间接的光荣,借此以减少挫折的影响。
  应该看到,一个人把对别人的性格、为人、言行的模拟作为战胜挫折的手段,可以收到一时的效果。作为企业的领导人,就应该有计划地推荐一些革命家、思想家、科学家作为模拟的榜样,这对青年职工继承和发扬优良传统是极为有益的教育措施。

  ⑤压抑

  当一个人受到挫折之后,用意志力量压抑住愤怒、焦虑的情绪反应,表现出正常情况的谈笑自若的情绪状态。这种做法虽然可以减轻焦虑,获得暂时的安静,但并不能根本解决问题。这是因为压抑情绪的过程对人的身心健康有极大的危害。

  (4)战胜挫折的方法

  第一,正确地辩证地对待挫折
  ①挫折的客观性
  ②挫折的两重性
  第二、正确应付挫折的方法:
  首先要发展积极和建设性的反应,减少破坏性的消极反应。
  其次从企业管理的角度看,它还与一个组织所采取的管理方式有关。 管理方式得当就可以减少矛盾, 即使挫折产生了也比较容易解决;管理方式不当就会激化矛盾,不仅容易产生挫折,而且挫折也比较难以解决。所以,管理者要善于从挫折的征兆中找出真实的原因,采取种种诱导措施,以增加建设性的行为,消除破坏性的行为。这些具体措施包括:

  ①对受挫折者的攻击行为采取容忍的态度

  有修养的人对攻击行为采取容忍态度,这并不表明他软弱,而是表示他有比反击更好的办法来应付攻击。在这方面,关键在于对受挫折者抱有正确的态度。要把受挫折者看成是一个需要帮助的人,这样才能造成解决问题的气氛。

  ②改变情景

  应付挫折的有效方法之一是改变引起挫折的情景。在企业中要对管理人员进行处理人群关系的训练,这样可以避免使职工受挫折的情境。

  ③采用精神发泄方法

  这是一种心理治疗的方法。这种方法是要创造一种情境,使受挫折者可以自由地表达他们受压抑的情感。因为人们处于挫折情境会以紧张的情绪反应代替理智行为, 所以只有使这种紧张的情绪发泄出来,才能恢复理智状态。
  精神发泄可以采用各种形式。在哈佛大学的心理学家梅奥主持的霍桑试验中,采用个别谈话方式让工人发泄对工厂管理当局的不满和抱怨。研究人员只是洗耳恭听, 详细记录, 经过上万人次的谈话以后,霍桑厂的产量大幅度上升,这就是精神发泄方法的结果。
  日本一家电气公司设立所谓“情绪发泄控制室”。在这家公司的墙上挂着公司老板的和蔼微笑的照片,室内放着橡皮作的模拟人形,旁边架子上有各种棍子,有气的职工可以进去用棍子或拳头痛打人形靶,以发泄自己的气愤。
  作为社会主义国家的企业管理人员,在对待职工挫折的问题上,应该具有自己解决问题的特色。
  在任何时候任何条件下,前进道路上的挫折总是难以避免的,问题是应该怎样认识挫折、对待挫折。 首先, 要战胜挫折就要面对现实、承认挫折、正视挫折。其次要认真、冷静、客观地分析主观和客观上的各种因素,找出出现挫折的关键。决不能因为遇到挫折而产生消极情绪;相反,为了战胜挫折要有明显的激情状态。
  此外,要依靠坚强的意志力量,面对挫折所造成的一切不幸,把挫折对个人的打击,当成磨炼自己的最好机会,做一个时代的强者,在实践的考验中,把自己锻炼成为一个坚强的共产主义战士。


  三、综合激励理论

  综合激励理论是指有综合特性的激励理论。勒温(K.Lewin)的场动力论、豪斯(R.House)的综合激励模型、波特(L.Porter)和劳勒(E.Lawler)的综合激励模型都属于此列。

  (一)理论流派

  (1)勒温的场动力论。
勒温的场动力论是用以下的函数关系来表述的:

  B=f(P·E)
  其中B为个人行为的方向和向量,P为个人的内部动力,E为环境刺激。公式表明,个人行为的方向和向量取决于环境刺激。 个人内部动力的乘积。
  勒温把外界环境比喻为导火线,而人的需要是一种内部驱动力。人的行为决定于内部系统需要的张力与外界引线之间的相互关系。如果内部需要不强烈,那么再“强烈”的引线也没有多大意义。反之,内部需要很强烈,那微弱的导火线也会引起强烈的反响。

  (2)豪斯的综合激励模型。豪斯把前述若干种激励理论综合起来,使内、外激励集于一身。其公式是:

    M=Vit+Eia(Via+EejVej)
  在公式中, M表示激励水平;Vit表示活动本身提供的内酬效价,它给予的内部激励不受任务完成与否及结果如何的影响, 因而与期望值大小无关;Eia表示活动能否完成任务的期望值; Via表示完成任务的效价;EejVej表示一系列双变量的总和,其中Eej表示任务完成能否获得某项外酬的期望值,Vej表示该项外酬的效价。公式中下标的意思分别是:i为内在的,e为外在的,t为任务本身的,a为完成。
  运用乘法分配律,可将此公式变为:
    M=Vit+EiaVia+EiaEejVej
  在公式中,EiaVia表示内激励;EiaEejVej表示各种外激励之和。

  (3)波特和劳勒的综合激励模型。 波特与劳勒认为,激励是外部刺激、个体内部条件、行为表现、 行为结果相互作用的过程。具体地说, 他们将激励分为内外两个部分。 内激励的内容包括劳动报酬、 工作条件、 企业政策等。 外激励包括社会、心理等因素,如认可、人际关系等。据此,他们构建了以下激励模型:

  这个模型中有三个重要的变量:一是努力程度。模型中“消耗能量”是指人们在完成工作过程中所消耗的能量大小。这是由人们完成工作时所获得的激励价值和个人预感到完成工作后可能获得奖励的概率决定的。一般来说,工作对个体的激励价值越大,以及个体获得奖励的期望值越大,那么他消耗在工作上的能量也就越大。二是工作绩效。这个模型告诉人们,工作绩效既依赖于努力程度(消耗能量),又依赖于个体的能力和个体品质以及个体对自己工作意义的知觉。这说明在努力程度相同的情况下,由于各人能力、知识和对自己工作意义的知觉不同,工作绩效也会有所差别。对自己工作意义的知觉也可以说是个人在工作中的 “角色知觉”, 即个体接受了一定的工作任务, 并明确了自己的努力方向和水平, 从而规定自己投入多大的力量。 三是满足。 模型显示了个人对工作的满足与活动结果的相互关系。满足依赖于获得的激励与期望获得的结果之间的一致性。如果前项等同或大于后项,那么,个体便会感到满足。此外,满足还取决于个体本身的想法和意见,比如他认为怎样的激励是可信的,并可获得结果。

  (二)简要评价

  综合激励理论以它的广泛涉猎、兼容并包见长。具体来说,勒温的场动力论高度抽象,将内外因素全面涵盖。豪斯与波特、劳勒的模型相对具体,但也容纳了内外激励的要素。
  这样一来,也出现了过于抽象或复杂而难于操作的一面。例如,人们很难从场动力论中懂得激励应从何入手,以及什么是比较有效的手段。又如波特、劳勒模型,应用起来也是格外繁琐的。当然更值得注意的是模型内涵的合理性。例如豪斯的模型中激励(M)等于任务本身的内酬效价(Via)“加上”期望值等,将弗鲁姆期望理论中效价与期望值的积的关系变为和的关系,从而大大降低了期望值在激励中的作用。也就是说激励直接依赖内酬效价,这可能与实际情况有一定距离。